Gigaset AL110/AL110A - Manual de utilizare al telefonului
- 1 O privire asupra receptorului
- 2 O privire asupra stației de bază
- 3 Măsuri de siguranță
- 4 Îngrijire
- 5 Primii pași
- 6 Efectuarea de apeluri
- 7 Folosirea agendei și a listelor
- 8 Operarea robotului telefonic (AL110A)
- 9 Localizarea unui receptor ("paging")
- 10 Înregistrarea receptoarelor
- 11 Dezînregistrarea receptoarelor
- 12 Utilizarea mai multor receptoare
- 13 Setarea ceasului cu alarmă
- 14 Setări telefon
- 15 Operarea stației de bază pe PABX
- 16 Anexă
- 17 Arborele de meniuri
- 18 Referințe
- 19 Descărcați manualul
- 20 În alte limbi

O privire asupra receptorului

- Starea de încărcare a bateriilor
- Pictograma robotului telefonic (doar AL110A)
- Tastele de afișare
- Tasta mesaj
- Tasta agendă
- Tasta de control (
) - Tasta de convorbire
- Tasta de încheiere a apelului și tasta Pornit/Oprit
- Ton de apel pornit/oprit (apăsați și mențineți apăsat în modul inactiv)
- Blocare/deblocare tastatură (apăsați și mențineți apăsat)
- Tasta Recall
- Apel de consultare (flash)
- Pauză de formare a numărului (apăsați și mențineți apăsat)
- Microfon 13 Tasta "Microfon oprit"
Notă
Mesajele noi din lista de apeluri/lista robotului telefonic (căsuța poștală a rețelei) sunt indicate printr-un afișaj intermitent.
Tastele de afișare:
Apăsarea unei taste lansează funcția care apare deasupra tastei respective pe ecran.
| Afișaj | Funcția când este apăsată |
| INT | Apelați alte receptoare înregistrate |
| MENU | Deschideți meniul principal/submeniul |
![]() | Reveniți la nivelul anterior al meniului. |
![]() | Derulați în sus/jos sau reglați volumul cu . |
![]() | Mutați cursorul la stânga/dreapta cu . |
![]() | Backspace șterge un caracter la un moment dat. |
| OK | Confirmați funcția meniului sau salvați intrarea. |
O privire asupra stației de bază

Tasta de înregistrare/căutare:
Căutați receptoare (apăsați scurt, "Paging" (căutare))
Înregistrați receptoare (apăsați și țineți apăsat).
ECO DECT
Ajutați la protejarea mediului cu Gigaset AL110/AL110A.
Consum redus de energie
Telefonul dvs. are o mufă adaptor de economisire a energiei și utilizează mai puțină energie.
Putere de transmisie redusă
Puterea de transmisie a telefonului dvs. este redusă automat: Puterea de transmisie a receptorului este redusă în funcție de distanța față de stația de bază. Puterea de transmisie a stației de bază este redusă practic la zero atunci când este înregistrat un singur receptor și receptorul se află în stația de bază.
Puteți reduce și mai mult puterea de transmisie a receptorului și a stației de bază utilizând Eco Mode/Eco Mode+ (consultați structura meniului)
- Eco Mode (modul Eco): Reducere cu 80% a puterii de transmisie în modul de așteptare și în timpul unui apel (raza de acțiune a stației de bază este redusă).
- Eco Mode+ (modul Eco+): Dezactivarea 100% a puterii de transmisie în modul de așteptare ½ c (pictograma din stânga sus a ecranului
).
Apăsați și mențineți apăsată tasta de convorbire
pentru a verifica dacă stația de bază poate fi contactată. Veți auzi tonul de apel dacă stația de bază poate fi contactată.
Serviciul de asistență Gigaset: 0845 3670812
Măsuri de siguranță
Citiți cu atenție acest ghid de utilizare și măsurile de siguranță înainte de utilizare. Explicați conținutul acestora și pericolele potențiale asociate cu utilizarea telefonului copiilor dvs.
![]() | Utilizați numai unitatea de alimentare furnizată. |
![]() | Montați numai bateriile reîncărcabile recomandate, adică nu utilizați niciodată o baterie convențională (nereîncărcabilă) sau alte tipuri de baterii, deoarece acest lucru ar putea duce la riscuri semnificative pentru sănătate și vătămări corporale. |
![]() | Funcționarea aparatelor medicale poate fi afectată. Fiți conștienți de condițiile tehnice din mediul dvs. particular, de exemplu, cabinetul medicului. |
![]() | Nu țineți partea din spate a receptorului la ureche când sună. În caz contrar, riscați deteriorarea gravă și permanentă a auzului. Receptorul poate provoca un zgomot neplăcut în aparatele auditive. |
![]() | Nu instalați telefonul într-o baie sau într-o cameră de duș. Receptorul și stația de bază nu sunt rezistente la stropire. |
![]() | Nu utilizați telefonul în medii cu potențial pericol de explozie, de exemplu, ateliere de vopsitorie. |
![]() | Dacă dați Gigaset-ul dvs. altcuiva, asigurați-vă că îi dați și ghidul de utilizare. |
![]() | Vă rugăm să scoateți din uz stațiile de bază defecte sau să le reparați de către serviciul nostru, deoarece acestea ar putea interfera cu alte servicii wireless. |
![]() | Eliminare Bateriile nu trebuie aruncate în deșeurile menajere generale. Respectați reglementările locale de eliminare a deșeurilor, detalii despre care pot fi obținute de la autoritatea locală sau de la dealerul de la care ați achiziționat produsul. Toate echipamentele electrice și electronice trebuie eliminate separat de deșeurile menajere generale, utilizând locurile desemnate de autoritățile locale. Dacă un produs afișează acest simbol al unui coș de gunoi tăiat cu o cruce, produsul este supus Directivei europene 2002/96/CE. Eliminarea adecvată și colectarea separată a echipamentelor uzate servesc la prevenirea potențialelor daune aduse mediului și sănătății. Acestea sunt o condiție prealabilă pentru reutilizarea și reciclarea echipamentelor electrice și electronice uzate. Pentru mai multe informații despre eliminarea echipamentelor uzate, vă rugăm să contactați autoritatea locală, serviciul de colectare a deșeurilor sau dealerul de la care ați achiziționat produsul. |
Numerele de urgență nu pot fi apelate dacă blocarea tastaturii este activată!
Nu toate funcțiile descrise în acest ghid de utilizare sunt disponibile în toate țările.
Îngrijire
Ștergeți stația de bază, suportul de încărcare și receptorul cu o cârpă umedă (nu utilizați solvent) sau cu o cârpă antistatică.
Nu utilizați niciodată o cârpă uscată. Aceasta poate provoca electricitate statică.
Contactul cu lichid
Dacă receptorul a intrat în contact cu lichid:
- Opriți receptorul și scoateți imediat acumulatorul.
- Lăsați lichidul să se scurgă din receptor.
- Tamponați toate părțile pentru a le usca, apoi așezați receptorul cu compartimentul bateriei deschis și tastatura cu fața în jos într-un loc uscat și cald timp de cel puțin 72 de ore (nu într-un cuptor cu microunde, cuptor etc.).
- Nu porniți din nou receptorul până când nu este complet uscat.
Când s-a uscat complet, veți putea în mod normal să-l utilizați din nou.
Primii pași
Verificați conținutul pachetului
- O stație de bază Gigaset AL110/AL110A,
- un adaptor de rețea,
- un receptor Gigaset AL110H,
- un cablu telefonic,
- un set de baterii,
- un capac pentru baterii,
- un ghid de utilizare plus un ghid de pornire rapidă.
Dacă ați achiziționat un model cu mai multe receptoare, pachetul ar trebui să conțină un set de baterii, un capac pentru baterii și un suport de încărcare cu adaptor de rețea pentru fiecare receptor suplimentar.
Configurarea stației de bază și a suportului de încărcare (dacă este inclus)
Stația de bază și suportul de încărcare sunt proiectate pentru utilizare în încăperi uscate închise, cu o temperatură cuprinsă între +5°C și +45°C.
Configurați stația de bază într-o locație centrală pe o suprafață plană, antiderapantă, în casa sau apartamentul dvs.
Vă rugăm să rețineți
Acordați atenție razei de acțiune a stației de bază.
Aceasta este de până la 300 m în zone exterioare neobstrucționate și de până la 50 m în interiorul clădirilor. Raza de acțiune este redusă atunci când Eco Mode (Modul Eco) este activat.
Picioarele telefonului nu lasă, de obicei, urme pe suprafețe. Cu toate acestea, datorită multitudinii de lacuri și lustruire diferite utilizate pe mobilierul de astăzi, apariția urmelor pe suprafețe nu poate fi complet exclusă.
Puteți monta, de asemenea, stația de bază și suportul de încărcare pe perete.
Vă rugăm să rețineți:
- Nu expuneți niciodată telefonul la influența surselor de căldură, a luminii solare directe sau a altor dispozitive electrice.
- Protejați-vă Gigaset-ul de umiditate, praf, lichide corozive și vapori.
Conectarea stației de bază

Mai întâi conectați adaptorul de rețea
.
Apoi conectați mufa telefonică
și introduceți cablurile în canalele de cablu.
Vă rugăm să rețineți:
- Adaptorul de rețea trebuie să fie întotdeauna connectat, deoarece telefonul nu va funcționa fără conexiune la rețea.
- Utilizați numai adaptorul de rețea și cablul telefonic furnizate. Conexiunile pinilor de pe cablurile telefonice pot varia.
Conectarea suportului de încărcare (dacă este inclus)

Conectați ștecherul plat de la sursa de alimentare
.
Introduceți adaptorul de rețea în priză
.

Dacă trebuie să deconectați ștecherul de la suportul de încărcare, apăsați butonul de eliberare
și deconectați ștecherul
.
Configurarea receptorului pentru utilizare

Ecranul este protejat de o folie de plastic.
Vă rugăm să îndepărtați folia de protecție!
Introducerea setului de baterii și închiderea capacului bateriei
- Așezați firele bateriei în ghidajele pentru fire, astfel încât capacul bateriei să nu se prindă de fire și să le deterioreze atunci când este închis.
- Utilizați numai setul de baterii reîncărcabile recomandat de Gigaset Communications GmbH, adică nu utilizați niciodată un set de baterii convențional (nereîncărcabil), deoarece acest lucru ar putea duce la riscuri semnificative pentru sănătate și vătămări corporale. De exemplu, setul de baterii ar putea exploda. Telefonul ar putea, de asemenea, să funcționeze defectuos sau să fie deteriorat ca urmare a utilizării bateriilor care nu sunt de tipul recomandat.
Introduceți ștecherul în priză ¤ așa cum se arată în vizualizarea mărită.
Introduceți setul de baterii.
Așezați firele în ghidajele pentru fire.


Așezați capacul pe compartimentul bateriei așa cum se arată în diagramă, apoi împingeți-l în sus până când se fixează în poziție.
Dacă trebuie să deschideți capacul bateriei, de exemplu, pentru a înlocui bateriile:
Apăsați în jos pe capacul bateriei sub capătul său superior și glisați capacul în jos.
Așezarea receptorului în stația de bază/suportul de încărcare
Așezați receptorul în stația de bază/suportul de încărcare cu ecranul orientat înainte.
Fiecare receptor este înregistrat la bază din fabrică. Nu trebuie să finalizați o înregistrare. Dacă doriți să utilizați receptorul cu o altă bază sau să utilizați receptoare suplimentare cu baza dvs., va trebui să înregistrați receptorul manual.
Pentru a încărca bateriile, lăsați receptorul în stația de bază/suportul de încărcare.
Vă rugăm să rețineți
Așezați receptorul numai în stația de bază/suportul de încărcare care este destinat acestuia.
Încărcarea și descărcarea inițială a bateriilor
Nivelul corect de încărcare poate fi afișat numai dacă bateriile sunt mai întâi încărcate complet și descărcate.

Așezați receptorul în stația de bază/suportul de încărcare timp de 7 ore.
Apoi scoateți receptorul din stația de bază/suportul de încărcare și nu îl înlocuiți până când bateriile nu sunt complet descărcate.
Vă rugăm să rețineți
- După prima încărcare și descărcare a bateriei, puteți înlocui receptorul în stația de bază/suportul de încărcare după fiecare apel.
- Repetați întotdeauna procedura de încărcare și descărcare dacă scoateți bateriile din receptor și le reintroduceți.
- Bateriile se pot încălzi în timpul încărcării. Acest lucru nu este periculos.
- După un timp, capacitatea de încărcare a bateriilor va scădea din motive tehnice.
Setarea datei și orei
Setați data și ora, astfel încât data și ora corecte să poată fi atribuite apelurilor primite și astfel încât alarma să poată fi utilizată.
MENU (MENIU)
Settings (Setări)
OK
Date/Time (Data/Ora)
OK
Date: (Data:) 
(introduceți ziua, luna și anul în format de 6 cifre)
OK
Time: (Ora:) 
(introduceți orele și minutele în format de 4 cifre)
OK (mesaj afișat: Saved (Salvat))

(apăsați și țineți apăsat pentru a reveni la starea inactivă)
Vă rugăm să rețineți
Când introduceți ora și data, puteți muta poziția unei intrări la stânga sau la dreapta apăsând butonul de control în sus sau în jos.
Afișaj în stare inactivă
Odată ce telefonul este înregistrat și ora este setată, afișajul inactiv este afișat ca în acest exemplu.
Starea de încărcare a bateriilor:

-
(descărcată complet - încărcată complet)
clipește: bateriile sunt aproape descărcate-
clipește: se încarcă
Dacă mai multe receptoare sunt înregistrate la stația de bază, numărul intern al receptorului apare în partea stângă sus a ecranului, de exemplu, 2.
Dacă Eco Mode+ (Mod Eco+) este activat, pictograma
este afișată în partea stângă sus.
Dacă robotul telefonic este activat (AL110A), pictograma robotului telefonic ± va fi afișată în antet. Robotul dvs. telefonic este setat cu un anunț preînregistrat.
Activarea/dezactivarea receptorului
Apăsați și țineți apăsată tasta
pentru a activa sau dezactiva receptorul.
Dacă plasați un receptor dezactivat în stația de bază sau în suportul de încărcare, acesta se va activa automat.
Telefonul dvs. este acum gata de utilizare.
Dacă aveți întrebări despre utilizarea telefonului, vă rugăm să citiți sfaturile despre depanare ("Întrebări și răspunsuri") sau să contactați echipa noastră de asistență pentru clienți
Efectuarea de apeluri
Efectuarea de apeluri externe și încheierea apelurilor
Apelurile externe sunt apeluri care utilizează rețeaua telefonică publică.
(Introduceți numărul de telefon) 
.
Numărul de telefon este format. (Sau puteți apăsa mai întâi c și țineți apăsat
[ton de apel] și apoi introduceți numărul.)
În timpul apelului, puteți regla volumul căștii folosind
și setați volumul cu
.
Încheierea apelului/anularea formării numărului:
Apăsați tasta de încheiere a apelului
.
Puteți introduce automat un cod de apelare al furnizorului de rețea înainte de orice număr de telefon (consultați arborele de meniu "Preselecție").
Acceptarea unui apel
Receptorul indică un apel primit prin sonerie și printr-un afișaj pe ecran.
Apăsați tasta de convorbire
pentru a accepta apelul.
Când Auto Answer (Răspuns automat) este activat (consultați arborele de meniu), pur și simplu scoateți receptorul din stația de bază/suportul de încărcare.
În starea inactivă, utilizați
pentru a activa meniul pentru setarea volumului apelului și utilizați
pentru a seta volumul.
Identificarea liniei apelante
Când primiți un apel, numărul apelantului va fi afișat pe receptor; numele apelantului va fi afișat dacă este stocat în agendă.
Condiții prealabile:
- Ați solicitat furnizorului dvs. de rețea ca numărul apelantului (CLIP) să fie afișat pe ecranul receptorului.
- Apelantul a solicitat furnizorului de rețea ca numărul său să fie identificat (CLI).
apare pe ecran dacă nu ați solicitat identificarea liniei apelante, Withheld (Reținut) apare dacă apelantul a reținut CLI și Unavailable (Indisponibil) apare dacă CLI nu a fost solicitat.
Dezactivarea microfonului
Puteți dezactiva microfonul receptorului atunci când efectuați apeluri externe. Apelantul dvs. nu vă mai poate auzi. Apăsați tasta "Microphone off" (Microfon oprit)
în timpul apelului pentru a activa/dezactiva funcția.
Folosirea agendei și a listelor
Agendă
Pentru a deschide agenda: apăsați
.
Puteți salva până la 40 de numere de telefon (max. 32 de cifre) cu numele corespunzătoare (max. 14 caractere). Introduceți litere/caractere.
Salvarea primului număr în agendă
Intrare nouă?
OK

(introduceți numărul)
OK

(introduceți numele)
OK
Stocarea unui număr în agendă

MENU
Intrare nouă
OK

(introduceți numărul)
OK

(introduceți numele)
OK
Selectarea unei intrări din agendă
Deschideți agenda cu
. Aveți următoarele opțiuni:
- Utilizați
pentru a derula prin intrări până când este selectat numele dorit. - Introduceți primul caracter al numelui și derulați la intrare cu
, dacă este necesar.
Apelarea cu agenda


(selectați intrarea) 

Folosirea altor funcții


(selectați intrarea)
MENU
Următoarele funcții pot fi selectate cu
:
| New Entry (Intrare nouă) | Salvați un număr de telefon nou. |
| Show Number (Arată numărul) | Afișează numărul de telefon. |
| Use Number (Folosește numărul) | Editați sau adăugați la număr. Apoi apelați sau utilizați alte funcții cu MENU. |
| Edit Entry (Editează intrarea) | Editați intrarea selectată. |
| Delete Entry (Șterge intrarea) | Ștergeți intrarea selectată. |
| Send Entry (Trimite intrarea) | Trimiteți o singură intrare către un alt receptor |
| Delete List (Șterge lista) | Ștergeți toate intrările din agendă. |
| Send List (Trimite lista) | Trimiteți lista completă către un alt receptor |
| Shortcut (Scurtătură) | Pentru scurtături, atribuiți intrarea curentă unei taste. |
Folosirea tastelor de scurtătură
Puteți atribui intrări din agendă tastelor 0 și 2–9:


(selectați intrarea)
MENU
Shortcut
OK

(apăsați tasta căreia doriți să atribuiți intrarea)
Pentru a apela, apăsați și țineți apăsat tasta de scurtătură dorită.
Trimiterea agendei către un alt receptor
Precondiții:
- Receptorul care trimite și cel care primește trebuie să fie ambele înregistrate la aceeași stație de bază.
- Celălalt receptor și stația de bază pot trimite și primi intrări din agendă.


(selectați intrarea)
MENU
Send Entry / Send List
OK
(introduceți numărul intern al receptorului care primește)
OK
Lista de reapelare a ultimului număr
Această listă conține ultimele zece numere apelate.
Apelarea din lista de reapelare a ultimului număr
(apăsați scurt) 
(selectați intrarea) 

Gestionarea intrărilor din lista de reapelare a ultimului număr
(apăsați scurt) 
(selectați intrarea)
MENU
Puteți selecta următoarele setări:
| Use Number (Folosește numărul) | Editați sau adăugați la număr. Apoi apelați sau utilizați alte funcții cu MENU. |
| Copy to Dir. (Copiază în agendă) | Copiați o intrare în agendă. |
| Delete Entry (Șterge intrarea) | Ștergeți intrarea selectată. |
| Delete List (Șterge lista) | Ștergeți toate intrările. |
Lista de apeluri/lista de mesaje (căsuța poștală a rețelei)
Un ton de avertizare se aude și tasta de mesaje clipește de îndată ce apare o intrare nouă în lista de apeluri/lista de mesaje. Un mesaj apare pe ecran.
Când apăsați tasta
, toate listele sunt afișate. Dacă doar o listă conține mesaje noi, aceasta va fi deschisă automat.
Vă rugăm să rețineți:
Dacă apelurile sunt salvate în căsuța poștală a rețelei, veți primi un mesaj dacă au fost efectuate setările corespunzătoare (în funcție de furnizorul dvs. de rețea).
Lista de apeluri
Precondiție: CLIP
În funcție de tipul de listă setat, lista de apeluri conține
- apeluri cu răspuns
- apeluri pierdute
- apeluri înregistrate de robotul telefonic (doar AL110A)
În funcție de tipul de listă setat, toate numerele ultimelor 25 de apeluri primite sunt salvate sau doar apelurile pierdute sunt salvate.
Lista de apeluri este afișată după cum urmează:
CallsList 01+02
Numărul de intrări noi + numărul de intrări vechi, citite
Deschiderea listei de apeluri

CallsList 01+02
OK
Ultimul apel primit este afișat.
Dacă este necesar, utilizați
pentru a selecta o altă intrare.
Folosirea altor funcții
(selectați intrarea)
MENU
Următoarele funcții pot fi selectate cu
:
| Delete Entry (Șterge intrarea) | Ștergeți intrarea curentă. |
| Copy to Dir. (Copiază în agendă) | Copiați o intrare în agendă. |
| Date/Time (Data/Ora) | Data și ora apelului (dacă sunt setate). |
| Status (Stare) | New Call: apel pierdut nou. Old Call: intrare deja citită. Answ.: apel preluat. |
| Delete List (Șterge lista) | Toate intrările vechi și noi vor fi șterse. |
Apelarea înapoi a unui apelant din lista de apeluri

CallsList 01+02
OK 
(selectați intrarea) 

Lista de mesaje (doar AL110A)
Puteți utiliza lista de mesaje pentru a asculta mesajele care se află pe robotul telefonic.
Lista de mesaje este afișată după cum urmează: VoiceMail 01+02
Numărul de mesaje noi + numărul de mesaje vechi, redate
Deschiderea listei de mesaje

VoiceMail 01+02
OK
Dacă aveți mesaje noi, redarea va începe cu primul mesaj nou, altfel cu primul mesaj vechi.
Folosirea altor funcții
(Selectați intrarea)
MENU
Următoarele funcții pot fi selectate cu
:
| Continue (Continuă) | Reluați redarea întreruptă. |
| Volume (Volum) | Setați volumul. |
| Copy to Dir. (Copiază în agendă) | Copiați o intrare în agendă. |
| Delete all old (Șterge toate vechile) | Ștergeți toate mesajele vechi. |
Operarea robotului telefonic (AL110A)
Robotul telefonic este operat de pe receptor. Telefonul este livrat cu un anunț preînregistrat. Puteți înregistra propriile mesaje de anunț doar folosind receptorul. Acest anunț preînregistrat este utilizat dacă nu este disponibil niciun anunț personal.
Dacă memoria este plină, robotul telefonic se oprește automat. Se activează din nou automat când ștergeți mesajele vechi.
Activarea/dezactivarea robotului telefonic
MENU
Voice Mail
OK
Answer Mach.
OK (
= pornit)
Când porniți robotul telefonic, pictograma ± apare pe ecran.
Înregistrarea propriului anunț
MENU
Voice Mail
OK
Announcements
OK
Rec announce
OK
Speak after OK
OK
Auziți tonul de pregătire (ton scurt). Acum spuneți anunțul (cel puțin 3 sec.). Apăsați OK pentru a confirma sau apăsați
sau
pentru a respinge înregistrarea. După înregistrare, anunțul este redat pentru a verifica.
Vă rugăm să rețineți:
Înregistrarea se termină automat când timpul maxim de înregistrare de 170 de secunde este atins sau dacă există o pauză în vorbire de mai mult de 2 secunde.
Redarea sau ștergerea anunțurilor
Consultați arborele de meniuri.
Redarea/ștergerea mesajelor
Deschideți lista robotului telefonic pentru a reda mesajele.
Oprirea și controlul redării
În timpul redării mesajului:
| 2 | Opriți redarea (Stop playback). Apăsați din nou 2 pentru a relua. |
![]() | Mergeți la începutul mesajului curent. |
2x![]() | Treceți la mesajul anterior. |
![]() | Treceți la mesajul următor. |
2x![]() | Treceți la mesajul următor, dar unul. |
Ștergerea mesajelor individuale
În timp ce redarea este întreruptă, apăsați tasta de afișare
.
Ștergerea tuturor mesajelor vechi
În timpul redării sau pauzei:
MENU
Delete all old (Ștergeți toate cele vechi)
OK (Confirmați solicitarea de securitate)
Preluarea unui apel de la robotul telefonic
Puteți accepta în continuare un apel în timp ce robotul telefonic înregistrează mesajul apăsând
. Înregistrarea se oprește și puteți vorbi cu apelantul.
Configurarea robotului telefonic
Robotul telefonic a fost deja presetat din fabrică. Efectuați setări individuale folosind receptorul. Detalii despre cum să setați un timp de întârziere, după care robotul telefonic trebuie să răspundă la un apel, precum și detalii despre cum să setați durata de înregistrare și să activați screeningul apelurilor în timpul înregistrării, sunt disponibile din arborele de meniuri.
Atribuirea tastei 1 pentru acces rapid la robotul telefonic (căsuța poștală de rețea)
Pur și simplu apăsați și țineți apăsată tasta 1 de pe receptor și veți fi conectat direct la robotul telefonic (căsuța poștală de rețea).
Consultați arborele de meniuri.
Operarea de la distanță când sunteți în mișcare
Puteți verifica și activa robotul telefonic de pe orice alt telefon (hotel, telefon public etc.).
Condiții prealabile:
- Ați setat un PIN de sistem diferit de 0000.
- Telefonul pe care îl utilizați pentru operarea de la distanță are apelare prin ton (DTMF), adică auziți tonuri diferite când apăsați tastele.
Apelarea robotului telefonic și redarea mesajelor
(Formați propriul număr)
în timp ce ascultați anunțul: apăsați tasta
și introduceți PIN-ul de sistem
Următoarele taste sunt utilizate pentru operare:
![]() | Mergeți la începutul mesajului curent. Apăsați de două ori pentru a reveni la mesajul anterior. |
![]() | Opriți redarea (Stop playback). Apăsați din nou pentru a relua. |
![]() | Treceți la mesajul următor. |
![]() | Ștergeți mesajul curent. |
Activarea robotului telefonic
(Introduceți propriul număr și permiteți telefonului să sune până când auziți mesajul: "Vă rugăm să introduceți PIN-ul") 
introduceți PIN-ul de sistem
Robotul dvs. telefonic este activat. Vă spune cât timp de memorie a mai rămas. Mesajele sunt acum redate. Robotul telefonic nu poate fi dezactivat de la distanță.
Localizarea unui receptor ("paging")
Puteți localiza receptorul folosind stația de bază.
- Apăsați scurt tasta de înregistrare/paging de pe stația de bază.
- Toate receptoarele vor suna simultan ("paging"), chiar dacă tonurile de apel sunt dezactivate.
Terminați pagingul: apăsați scurt tasta de înregistrare/paging de pe stația de bază sau tasta de convorbire
de pe un receptor.
Înregistrarea receptoarelor
Puteți înregistra până la patru receptoare la stația dvs. de bază (Gigaset AL110H recomandat). Fiecare receptor suplimentar trebuie să fie înregistrat pe stația de bază pentru a funcționa corect!
- Pe receptor
MENU
Settings (Setări)
OK
Handset(Receptor)
OK
Register HS (Înregistrare HS)
Introduceți PIN-ul de sistem al stației de bază (valoarea implicită este 0000)
OK .
Înregistrarea clipește pe ecran . - Pe stația de bază
în termen de 60 de secunde de la introducerea PIN-ului de sistem, apăsați și mențineți apăsată tasta de înregistrare/paging (min. 3 sec.).
Înregistrarea durează aproximativ 1 minut.
Receptoarelor li se atribuie cel mai mic număr intern disponibil (1-4). Dacă numerele interne 1-4 sunt deja atribuite altor dispozitive, numărul 4 va fi suprascris.
Dezînregistrarea receptoarelor
Receptoarele pot fi dezînregistrate doar prin resetarea stației de bază la setările sale implicite. Aceasta va reseta și toate celelalte setări.
Dacă ați înregistrat doar receptoare pentru alte dispozitive compatibile GAP, acestea pot fi dezînregistrate doar cu o resetare hardware.
Utilizarea mai multor receptoare
Efectuarea de apeluri interne
Apelurile interne sunt apeluri gratuite către alte receptoare care sunt înregistrate la aceeași stație de bază.
Pentru a efectua un apel către alte receptoare, apăsați
- INT
![]()
(1...4, introduceți numărul intern al receptorului)
OK, receptorul este apelat sau - INT
tasta stea
OK, toate receptoarele sunt
apelat.
Când un participant răspunde, puteți vorbi cu el. Pentru a termina apelul, apăsați
.
Apel de consultare internă/conectarea unui apel
Sunteți în conversație cu un participant extern. Apăsați tasta INT și apelați unul sau toate receptoarele. Participantul extern aude muzica de așteptare.
- Înainte ca participantul intern să fi răspuns, apăsați tasta de terminare a apelului
; apelul este deviat către participantul care răspunde la apel. - După ce participantul intern a răspuns, puteți vorbi cu el. Apăsați tasta de terminare a apelului
; apelul este deviat, sau apăsați tasta de afișare; sunteți reconectat la participantul extern.
Ascultarea unui apel extern
Efectuați un apel extern. Un participant intern poate asculta acest apel și poate participa la conversație (conferință).
Condiție prealabilă: Funcția Ascultare trebuie să fie activată.
Activarea/dezactivarea ascultării
MENU
Settings (Setări)
OK
Base (Bază)
OK
Listening in (Ascultare)
OK (
= pornit)
Ascultare internă (conferință)
Doriți să ascultați un apel extern existent. Apăsați scurt și țineți apăsată tasta
. Puteți asculta apelul. Toți participanții aud un ton de semnal. Pentru a termina: apăsați tasta de terminare a apelului
. Toți participanții aud un ton de semnal.
Dacă primul participant intern apasă tasta de terminare a apelului
, receptorul care a "ascultat" rămâne conectat la participantul extern.
Setarea ceasului cu alarmă
Activarea/dezactivarea ceasului cu alarmă
MENU
Alarm Clock (Ceas cu alarmă)
OK
Activation(Activare)
OK (
= pornit)
Când este activat:
Setați ora de trezire
OK
Când sună ceasul cu alarmă, apăsați orice tastă pentru a-l opri timp de 24 de ore. Dacă ceasul cu alarmă este setat, pictograma
va apărea pe ecran și ora de trezire va fi afișată în loc de dată.
Setarea orei de trezire
MENU
Alarm Clock (Ceas cu alarmă)
OK
Wake-up time(Ora de trezire)
OK
Introduceți ora de trezire în ore și minute, apoi apăsați OK.
Setări telefon
Pentru detalii despre cum să efectuați setările audio, consultați Arborele de meniuri.
Pentru detalii despre cum să setați codul PIN al sistemului pe stația de bază, consultați Arborele de meniuri.
Schimbarea limbii de afișare
MENU
Settings (Setări)
OK
Handset (Receptor)
OK
Language (Limbă)
OK
selectați limba
OK
Limba curentă este indicată de
.
Dacă alegeți accidental o limbă pe care nu o înțelegeți:
MENU
4 2 1 (apăsați tastele una după alta)
Selectați limba corectă cu
și apăsați OK.
Resetarea receptorului
Puteți reseta setările individuale și modificările pe care le-ați făcut. Intrările din director, lista de apeluri și înregistrarea receptorului la stația de bază vor fi păstrate.
MENU
Settings (Setări)
OK
Handset (Receptor)
OK
Reset Handset (Resetează receptorul)
OK
Anulați resetarea cu
.
Restabilirea stației de bază la setările din fabrică
Când restabiliți setările din fabrică:
- Toate receptoarele sunt dezînregistrate
- Setările individuale sunt resetate
- Toate listele sunt șterse
- Codul PIN al sistemului este resetat la codul original 0000 Doar data și ora sunt păstrate.
Resetare software
MENU
Settings (Setări)
OK
Base (Bază)
OK
Base Reset (Resetare bază)
OK
Resetare hardware
Deconectați cablul de alimentare de la stația de bază.
Țineți apăsată tasta de înregistrare/paging de pe stația de bază în timp ce reconectați cablul de alimentare la stația de bază. Eliberați tasta după aproximativ 5 secunde.
Mod repetor
Cu un repetor puteți crește raza de acțiune a stației de bază. Va trebui să activați modul repetor. Modul repetor și modul Eco sau modul Eco+ se anulează reciproc.
Operarea stației de bază pe PABX
Următoarele setări sunt necesare doar atunci când PABX-ul dvs. le solicită, consultați ghidul utilizatorului pentru PABX-ul dvs.
Când introduceți cifrele, introduceți-le încet una după alta.
Schimbarea modului de formare a numărului
MENU
4 I O 1 1
Numărul pentru modul de formare a numărului setat clipește: 0 = formare prin ton (DTMF); 1 = formare prin impulsuri (DP)
introduceți numărul
OK.
Setarea rechemării
MENU
4 I O 1 2
Numărul pentru rechemarea curentă clipește: 0 = 80 ms; 1 = 100 ms; 2 = 120 ms;
3 = 400 ms; 4 = 250 ms; 5 = 300 ms; 6 = 600 ms;
7 = 800 ms
introduceți numărul
OK.
Schimbarea pauzei după captarea liniei
Puteți seta durata pauzei inserate între apăsarea tastei de convorbire
și trimiterea numărului de telefon.
MENU
4 I O 1 O
Numărul pentru durata curentă a pauzei clipește: 1 = 1 sec.; 2 = 3 sec.; 3 = 7 sec.
introduceți numărul
OK.
Schimbarea pauzei după tasta de rechemare
MENU
4 I O 1 4
Numărul pentru durata curentă a pauzei clipește: 1 = 800 ms; 2 = 1600 ms; 3 = 3200 ms
introduceți numărul
OK.
Anexă
Introducerea literelor/caracterelor
Apăsați tasta relevantă de numărul de ori indicat.
Apăsați scurt tasta hash
pentru a comuta de la modul "Abc" la modul "123", de la modul "123" la modul "abc" și de la modul "abc" la modul "Abc".
Caractere standard

- Spațiu
Specificații
Baterii recomandate
Nichel-metal-hidrură (NiMH) V30145-K1310-X383
(Valabil la momentul tipăririi)
Receptorul este furnizat cu baterii recomandate.
Consumul de energie al stației de bază
| AL110 | AL110A | |
| În modul standby | ||
| ca. 1,0 W ca. 0,8 W | ca. 1,2 W ca. 1,0 W |
| În timpul unui apel | ca. 1,0 W | ca. 1,2 W |
Specificații generale
| Standard DECT | este acceptat |
| Standard GAP | este acceptat (receptorul Gigaset funcționează numai cu o bază Gigaset) |
| Rază de acțiune | până la 300 m în exterior până la 50 m în interior |
| Alimentare stație de bază | 230 V ~/50 Hz |
| Condiții de mediu în funcționare | +5°C până la +45°C, 20% până la 75% umiditate relativă |
Întrebări și răspunsuri
Dacă aveți întrebări despre utilizarea telefonului, vizitați site-ul nostru web la www.gigaset.com/uk/service pentru asistență 24 de ore. Tabelul de mai jos conține o listă cu problemele comune și posibilele soluții.
| Problemă | Cauză | Soluție |
Nu apare nimic pe ecran | Receptorul nu este pornit. Bateriile sunt descărcate. | Apăsați tasta de terminare a apelului pentru aprox. 5 secunde sau puneți receptorul în stația de bază. Încărcați sau înlocuiți bateriile. |
| Nicio conexiune wireless la stația de bază, Base clipește în ecran. | Receptorul este în afara razei de acțiune a stației de bază. Receptorul nu este înregistrat. Stația de bază nu este pornită. | Mutați receptorul mai aproape de stația de bază. Înregistrați receptorul. Verificați conectorul de alimentare de pe stația de bază. |
| Nu auziți un ton de apel/ton de formare de la rețeaua de linie fixă. | Cablul telefonic furnizat nu a fost utilizat sau a fost înlocuit cu un cablu nou cu conexiuni jack greșite. | Vă rugăm să utilizați întotdeauna cablul telefonic furnizat sau să vă asigurați că conexiunile pinilor sunt corecte atunci când achiziționați de la un retailer: atribuire 3-4 a cablurilor telefonice/ EURO CTR37. |
| Sună un ton de eroare după solicitarea codului PIN al sistemului. PIN uitat. | Codul PIN al sistemului pe care l-ați introdus este incorect. | Resetați codul PIN al sistemului la valoarea implicită 0000. Toate receptoarele sunt dezînregistrate. Toate setările sunt resetate. Toate listele sunt șterse. |
Serviciul Clienți și Asistență
Aveți întrebări? În calitate de client Gigaset, puteți profita de ofertele noastre complete de servicii. Puteți găsi ajutor rapid în acest Manual de utilizare și în paginile de servicii ale portalului nostru online Gigaset.
Vă rugăm să vă înregistrați telefonul imediat după cumpărare pe www.gigaset.com/uk/service
astfel permițându-ne să vă oferim un serviciu și mai bun în caz de întrebări sau în caz de revendicare a garanției. Contul dvs. personal de utilizator vă permite să contactați direct serviciul nostru clienți prin e-mail.
În serviciul nostru online actualizat constant pe www.gigaset.com/uk/service puteți găsi:
- Informații extinse despre produsele noastre
- Compilații de întrebări frecvente
- Căutare după cuvinte cheie pentru a ajuta la găsirea rapidă a subiectelor
- Bază de date de compatibilitate: Aflați ce stații de bază și receptoare pot fi combinate.
- Comparație de produse: Comparați caracteristicile mai multor produse între ele.
- Descărcări pentru manuale de utilizare și actualizări software curente
- Formular de contact prin e-mail pentru serviciul clienți
Reprezentanții noștri de service sunt disponibili la telefon pentru întrebări mai avansate sau consultări personale.
Aici puteți obține sfaturi competente cu privire la întrebări referitoare la instalare, operare și configurare: UK: 0845 367 0812 (taxă de cost de apel local)
Vă rugăm să rețineți că, dacă produsul Gigaset nu este vândut de dealeri autorizați pe teritoriul național, este posibil ca produsul să nu fie pe deplin compatibil cu rețeaua telefonică națională. Este specificat clar pe cutie lângă marca CE, precum și pe partea inferioară a stației de bază pentru ce țară/țări a fost dezvoltat echipamentul. Dacă echipamentul este utilizat într-o manieră incompatibilă cu acest sfat sau cu instrucțiunile din manual și de pe produsul în sine, acest lucru poate avea implicații asupra condițiilor pentru revendicările de garanție sau garanție (repararea sau schimbul produsului).
Pentru a beneficia de garanție, cumpărătorul produsului este rugat să prezinte o chitanță care să dovedească data achiziției (data de la care începe perioada de garanție) și tipul de bunuri care au fost achiziționate.
Autorizare
Acest dispozitiv este destinat liniilor telefonice analogice din Marea Britanie.
Cerințele specifice țării au fost luate în considerare.
Noi, Gigaset Communications GmbH, declarăm că acest dispozitiv îndeplinește cerințele esențiale și alte reglementări relevante stabilite în Directiva 1999/5/CE. O copie a Declarației de conformitate 1999/5/CE este disponibilă la această adresă de internet: www.gigaset.com/docs
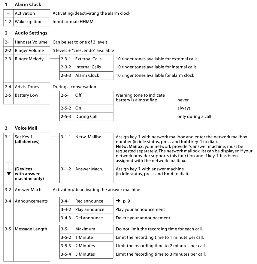
Arborele de meniuri
Telefonul dvs. are o gamă largă de funcții. Acestea sunt oferite sub formă de meniuri.
Pentru a selecta o funcție în timp ce telefonul este în stare inactivă, apăsați MENU (deschide meniul), utilizați tastele
și
pentru a derula la funcția dorită și apăsați OK pentru a confirma.
Pentru a reveni la starea inactivă: apăsați și mențineți apăsată tasta
.
Ca alternativă la selectarea funcțiilor folosind butoanele
și
, puteți introduce și combinația de cifre care se află în fața funcției din arborele de meniuri. ¢ ¢ De exemplu, pentru setarea orei și datei:
MENU 4
1
OK


3-1-1 Netw. Mailbx
Atribuiți tasta 1 cu căsuța poștală de rețea și introduceți numărul căsuței poștale de rețea 1 (în stare inactivă, apăsați și mențineți apăsată tasta 1 pentru a forma numărul).
Netw. Mailbx: robotul telefonic al furnizorului dvs. de rețea; trebuie să fie solicitat separat. Lista căsuței poștale de rețea poate fi afișată dacă furnizorul dvs. de rețea acceptă această funcție și dacă tasta a fost atribuită cu căsuța poștală de rețea.
3-6-5 Auto
Dacă nu există mesaje noi, robotul telefonic răspunde la un apel după 18 secunde. Dacă sunt prezente mesaje noi, robotul telefonic răspunde la un apel după doar 10 secunde.
4-3-7-1 Presel. Number
Codul de formare al furnizorului de rețea, ar trebui inserat automat înainte de numărul de telefon format.
Emis de Gigaset Communications GmbH Frankenstr. 2a D-46395 Bocholt
© Gigaset Communications GmbH 2011
Toate drepturile rezervate.
Sub rezerva disponibilității. Drepturi de modificare rezervate.
www.gigaset.com

Referințe
Descărcați manualul
Aici puteți descărca versiunea completă pdf a manualului, aceasta poate conține instrucțiuni suplimentare de siguranță, informații despre garanție, reguli FCC etc.
Descărcați Gigaset AL110/AL110A - Manual de utilizare al telefonului











(descărcată complet - încărcată complet)
clipește: bateriile sunt aproape descărcate
clipește: se încarcă


