Sony XDR-DS12iP - Manual de Operação do Sistema de Acoplamento de Áudio Pessoal
- 1 Funcionalidades
- 2 Especificações
- 3 Resolução de problemas
- 4 Preparar o comando remoto
- 5 Sobre a bateria de reserva
- 6 Definir o relógio pela primeira vez
- 7 Definir o relógio manualmente
- 8 Ajustar o brilho do ecrã
- 9 Melhorar a receção
- 10 Operar o rádio
- 11 Sintonização automática pré-definida (apenas FM)
- 12 Sintonização por pesquisa (apenas FM)
- 13 Operar um iPod
- 14 Definir o alarme
- 15 Definir o alarme da rádio
- 16 Definir o alarme da campainha
- 17 Definir o temporizador
-
18
Outras funções úteis para DAB
- 18.1 Alterar o ecrã
- 18.2 Função e número predefinido
- 18.3 Transmissão/Taxa de bits/Estéreo, Mono
- 18.4 Sintonia manual
- 18.5 Valor DRC (CONTROLO DE GAMA DINÂMICA)
- 18.6 Digitalização automática
- 18.7 Remover estações
- 18.8 Confirmar informações da lista de serviços
- 18.9 Sincronizar hora agora
- 18.10 Selecionar estação
- 19 PTY (Tipo de programa)
- 20 Outras funções úteis
- 21 Ligar equipamento externo
- 22 Descarregar manual
- 23 Em Outros Idiomas

Funcionalidades
- Sintonizador DAB/DAB+/FM
- Acordar ou Adormecer com iPod/Rádio
- MEGA BASS/MEGA Xpand
- Alarme Duplo (A/B)
- Controlo de brilho (Alto/Médio/Baixo/DESLIGADO)
- Comando Remoto Sem Fios
- Sistema de alarme "No Power No Problem" (Sem energia, sem problema) para manter o relógio e o alarme a funcionar durante uma interrupção de energia com uma bateria CR2032 instalada.
Especificações
Visualização da hora
Alternar entre o sistema de 12 horas (predefinição) e o sistema de 24 horas
Secção para iPod
Saída CC: 5V
MÁX: 500mA
Secção de rádio
| Gama de frequências | ||
| Banda | Frequência | Passo do canal |
| DAB (Banda-III) | 174,928 MHz - 239,200 MHz | |
| FM | 87,5 MHz - 108 MHz | 0,05 MHz |
| Tabela de frequências DAB (Banda-III) (MHz) | ||
| N.º | Canal | Frequência |
| 1 | 5A | 174,928 |
| 2 | 5B | 176,640 |
| 3 | 5C | 178,352 |
| 4 | 5D | 180,064 |
| 5 | 6A | 181,936 |
| 6 | 6B | 183,648 |
| 7 | 6C | 185,360 |
| 8 | 6D | 187,072 |
| 9 | 7A | 188,928 |
| 10 | 7B | 190,640 |
| 11 | 7C | 192,352 |
| 12 | 7D | 194,064 |
| 13 | 8A | 195,936 |
| 14 | 8B | 197,648 |
| 15 | 8C | 199,360 |
| 16 | 8D | 201,072 |
| 17 | 9A | 202,928 |
| 18 | 9B | 204,640 |
| 19 | 9C | 206,352 |
| 20 | 9D | 208,064 |
| 21 | 10A | 209,936 |
| 22 | 10B | 211,648 |
| 23 | 10C | 213,360 |
| 24 | 10D | 215,072 |
| 25 | 11A | 216,928 |
| 26 | 11B | 218,640 |
| 27 | 11C | 220,352 |
| 28 | 11D | 222,064 |
| 29 | 12A | 223,936 |
| 30 | 12B | 225,648 |
| 31 | 12C | 227,360 |
| 32 | 12D | 229,072 |
| 33 | 13A | 230,784 |
| 34 | 13B | 232,496 |
| 35 | 13C | 234,208 |
| 36 | 13D | 235,776 |
| 37 | 13E | 237,488 |
| 38 | 13F | 239,200 |
Geral
Altifalante
Aprox. 5,7 cm (2 1/4 polegadas) de diâmetro. 6 Ω
Entrada
Tomada AUDIO IN (ø minitomada estéreo de 3,5 mm)
Potência de saída
3,5 W + 3,5 W (com 10% de distorção harmónica)
Requisitos de energia
230 V CA, 50 Hz
Para cópia de segurança do relógio: 3V CC, bateria CR2032 (1)
Dimensões
Aprox. 290,5 mm × 152,0 mm × 139,5 mm (l/a/p)
(11 3/8 polegadas × 5 15/16 polegadas × 5 1/2 polegadas) incluindo peças salientes e controlos
Peso
Aprox. 1,7 kg (3 lb 12 oz) incluindo a unidade de fonte de alimentação
Acessórios fornecidos
Comando remoto (1)
Cabo de ligação de áudio (1)
Adaptador de Dock Universal para iPhone (1)
Adaptador de Dock Universal para iPhone 3GS e iPhone
3G (1)
Adaptador de Dock Universal para iPhone 4S e iPhone 4
O design e as especificações estão sujeitos a alterações sem aviso prévio.
Modelos de iPod/iPhone compatíveis
Os modelos de iPod/iPhone compatíveis são os seguintes.
Atualize o seu iPod/iPhone para usar o software mais recente antes de o utilizar.
iPod touch (4.ª geração)
iPod touch (3.ª geração)
iPod touch (2.ª geração)
iPod touch (1.ª geração)
iPod nano (6.ª geração)*
iPod nano (5.ª geração)
iPod nano (4.ª geração)
iPod nano (3.ª geração)
iPod nano (2.ª geração)
iPod nano (1.ª geração)
iPod com vídeo
iPod com ecrã a cores
iPod com roda de clique
iPod classic
iPod mini
iPhone 4S
iPhone 4
iPhone 3GS
iPhone 3G
iPhone
* O iPod nano (6.ª geração) não pode ser controlado quando o comando de "MENU", "
", "
" e "ENTER" é premido.
Notas
- Nestes Manuais de Operação, "iPod" é usado como uma referência geral às funções do iPod num iPod ou iPhone, salvo especificação em contrário no texto ou nas ilustrações.
- O conector da unidade destina-se exclusivamente ao uso com um iPod. Se usar dispositivos que não correspondam ao conector, ligue à tomada AUDIO IN desta unidade com o cabo de ligação de áudio fornecido.
- A Sony não pode aceitar responsabilidade no caso de perda ou dano de dados gravados num iPod ao usar um iPod ligado a esta unidade.
Resolução de problemas
Se algum problema persistir após ter efetuado as seguintes verificações, consulte o seu revendedor Sony mais próximo.
O relógio pisca "AM 12:00" ou "0:00" devido a uma interrupção de energia.
- A bateria está fraca. Substitua a bateria. Remova a bateria antiga e instale uma nova.
- Certifique-se de que remove a película de isolamento da bateria de reserva antes de usar.
O alarme do rádio, iPod ou campainha não toca à hora de alarme predefinida.
- Verifique se o alarme "A" ou o alarme "B" estão devidamente apresentados.
O alarme do rádio ou iPod é ativado, mas não sai som à hora de alarme predefinida.
- Verifique a definição do volume do alarme.
Não há som do iPod.
- Certifique-se de que o iPod está devidamente ligado. Ajuste o VOLUME.
O iPod não pode ser operado com esta unidade.
- Certifique-se de que o iPod está devidamente ligado.
O iPod não pode ser carregado.
- Certifique-se de que o iPod está devidamente ligado.
Preparar o comando remoto
Antes de usar o comando remoto pela primeira vez, remova a película de isolamento.

Para saber quando substituir a bateria
Com uso normal, a bateria (CR2025) deve durar cerca de seis meses. Quando o comando remoto deixar de operar a unidade, substitua a bateria por uma nova.

Notas
- Não tente carregar a bateria.
- Se não for usar o comando remoto durante muito tempo, remova a bateria para evitar qualquer dano que possa ser causado por fuga e corrosão.
Sobre a bateria de reserva
Para manter a hora exata, esta unidade contém uma bateria CR2032 como fonte de alimentação de reserva. A bateria mantém o relógio e o alarme a funcionar no caso de uma interrupção de energia.
Para saber quando substituir a bateria
Quando a bateria estiver fraca, "
" aparece no ecrã.
Se ocorrer uma interrupção de energia enquanto a bateria estiver fraca, a hora atual e as definições do alarme serão apagadas.
Substitua a bateria por uma bateria de lítio Sony CR2032. O uso de outra bateria pode causar um incêndio ou explosão.
Para substituir a bateria
- Mantenha a ficha CA ligada à tomada CA, remova o parafuso que fixa a tampa do compartimento da bateria na parte inferior da unidade usando uma chave de fendas e abra a tampa (ver Fig. 1).
![Sony - XDR-DS12iP - Para substituir a bateria - Parte 1 Para substituir a bateria - Parte 1]()
- Remova a bateria antiga e insira uma nova no compartimento da bateria com o lado
virado para cima (ver Fig. 2).
![Sony - XDR-DS12iP - Para substituir a bateria - Parte 2 Para substituir a bateria - Parte 2]()
- Volte a colocar a tampa do compartimento da bateria e fixe-a com o parafuso (ver Fig. 3).
![Sony - XDR-DS12iP - Para substituir a bateria - Parte 3 Para substituir a bateria - Parte 3]()
- Prima iPod & iPhone
, DAB/FM, AUDIO IN ou SNOOZE/DATE/SLEEP OFF para desligar "
" no ecrã.
Nota
Não desligue a ficha da tomada CA quando substituir a bateria. Caso contrário, o calendário, a hora atual, as definições do alarme e as predefinições da estação serão apagadas.
Se a hora no ecrã estiver incorreta após a substituição da bateria (Repor)
Prima o botão de repor com um dispositivo pontiagudo. O botão de repor está no pequeno orifício localizado no compartimento da bateria (ver Fig. 2).
Definir o relógio pela primeira vez
Quando for a primeira vez após a compra, faça o seguinte.
- Remova a película de isolamento da bateria de reserva na parte inferior da unidade.
![Sony - XDR-DS12iP - Definir o relógio pela primeira vez - Parte 1 Definir o relógio pela primeira vez - Parte 1]()
- Estenda totalmente a antena de fio.
- Ligue a unidade. "AM 12:00" e "FRI 01-01-2010" piscam durante cerca de 2 segundos, depois o ecrã muda da seguinte forma:
![Sony - XDR-DS12iP - Definir o relógio pela primeira vez - Parte 2 Definir o relógio pela primeira vez - Parte 2]()
- Prima SELECT ou para selecionar "Yes" (Sim) ou "No" (Não).
Se a hora da sua região estiver dentro do horário de verão, selecione "Yes" (Sim). A marca "
" aparece no ecrã. - Prima ENTER.
"Scanning..." (A pesquisar...) aparece no ecrã.
A unidade irá pesquisar e criar automaticamente uma lista de transmissões DAB recetíveis. Os serviços são armazenados na lista por ordem alfabética.
![Sony - XDR-DS12iP - Definir o relógio pela primeira vez - Parte 3 Definir o relógio pela primeira vez - Parte 3]()
Quando a pesquisa terminar, a unidade obtém a hora dos dados DAB da primeira estação recebida. A hora atual aparece no ecrã.
Notas
- Se nenhuma transmissão for encontrada pela pesquisa DAB, "NO STATION FOUND" (Nenhuma estação encontrada) aparece durante cerca de 2 segundos, depois "AM 12:00" pisca no ecrã. O relógio não pode ser definido. Neste caso, defina o relógio manualmente (ver "Definir o relógio manualmente").
- Se o relógio do sistema já estiver a funcionar (foi definido manualmente ou sincronizado a partir de DAB antes), o sistema não tentará entrar na função DAB automaticamente ao ligar a unidade.
Para alterar o ecrã para a indicação do horário de verão
- Prima MENU e SELECT
ou
para selecionar "DST" e, em seguida, prima ENTER. - Prima SELECT
ou
para selecionar "ON" (Ligado) e, em seguida, prima ENTER novamente.
A marca "
" aparece no ecrã. A hora muda para o horário de verão.
Para desativar o ajuste do horário de verão
- Prima MENU e SELECT
ou
para selecionar "DST" e, em seguida, prima ENTER. - Prima SELECT
ou
para selecionar "OFF" (Desligado) e, em seguida, prima ENTER novamente.
A marca "
" desaparece do ecrã. A hora volta ao horário padrão.
Definir o relógio manualmente
Faça o seguinte se a transmissão DAB não estiver disponível (dependendo da área). O modo de definição da hora por DAB torna-se inválido.
- Ligue a unidade.
- Prima MENU e SELECT
ou
para selecionar "Date & Time" (Data e Hora) e, em seguida, prima ENTER. O ano pisca no ecrã. - Prima SELECT
ou
para definir o ano e, em seguida, prima ENTER. - Repita o passo 3 para definir o mês, o dia, a hora e o minuto.
Os segundos começam a incrementar a partir de zero.
Notas
- A definição do relógio está disponível apenas no estado do relógio. (Ao usar rádio, iPod ou AUDIO IN, prima OFF para definir o relógio.)
- Se não premir nenhum botão durante cerca de 1 minuto enquanto define o relógio, a definição do relógio será cancelada.
- Um calendário de 100 anos (2010 - 2109) está instalado na unidade. Quando a data é definida, o dia da semana é apresentado automaticamente.
MON = Segunda-feira, TUE = Terça-feira,
WED = Quarta-feira, THU = Quinta-feira,
FRI = Sexta-feira, SAT = Sábado, SUN = Domingo
Para alterar o formato da hora
Pode escolher um formato de hora entre o sistema de 12 horas (predefinição) e o sistema de 24 horas.
- Prima MENU e SELECT
ou
para selecionar "Time Format" (Formato da Hora) e, em seguida, prima ENTER. - Prima SELECT
ou
para selecionar o formato de hora desejado e, em seguida, prima ENTER.
O formato da hora alterna entre o sistema de 12 horas ("AM 12:00" = meia-noite) e o sistema de 24 horas ("0:00" = meia-noite).
Para alterar o formato da data
- Prima MENU e SELECT
ou
para selecionar "Date Format" (Formato da Data) e, em seguida, prima ENTER. - Prima SELECT
ou
para selecionar o formato de data desejado e, em seguida, prima ENTER.
Para apresentar o ano e a data ao usar o rádio
Prima SNOOZE/DATE/SLEEP OFF (SNOOZE no comando remoto).
Após alguns segundos, o ecrã voltará automaticamente ao serviço ou estação atual.
Ajustar o brilho do ecrã
Estão disponíveis quatro níveis de brilho premindo BRIGHTNESS.

Mesmo que o nível de brilho esteja definido como OFF (desligado), este mudará para Médio enquanto o alarme estiver a tocar.
Melhorar a receção
DAB Band-III/FM
Estenda totalmente a antena de fio para aumentar a sensibilidade da receção.
Mantenha a antena de fio afastada do cabo de alimentação CA. Não junte a antena de fio e o cabo de alimentação CA.
Para a receção DAB, prima DISPLAY para mostrar a intensidade do sinal, de modo a rodar a antena para uma receção ideal.
Notas sobre a receção de rádio
- Mantenha os leitores de música digital ou telemóveis afastados da antena, pois tal pode causar interferências na receção.
- Quando estiver a ouvir rádio com um iPhone ligado à unidade, podem ocorrer interferências na receção de rádio.
- Quando estiver a ouvir rádio enquanto carrega um iPod, podem ocorrer interferências na receção de rádio.
Dica
Se uma transmissão FM for ruidosa, prima MENU e SELECT
ou
para selecionar "Mode" (Modo) e, em seguida, prima ENTER. Prima SELECT
ou
para selecionar "Mono" e, em seguida, prima ENTER novamente. "MONO" aparece no ecrã e o rádio reproduzirá em monoaural e o som ficará mais nítido.
Operar o rádio
A unidade pode receber o serviço DAB e estações de FM.
- Prima DAB/FM repetidamente para selecionar a banda pretendida.
Cada vez que premir, a banda muda da seguinte forma:
![Sony - XDR-DS12iP - Operar o rádio Operar o rádio]()
FM1 e FM2 ou DAB1 e DAB2 são as mesmas bandas de frequência.
Se não tiver sido criada uma lista de transmissões DAB recetíveis quando selecionar DAB1 ou DAB2, "Scanning..." (A pesquisar...) aparecerá no ecrã e a unidade começará a pesquisar automaticamente. - Prima TUNING + ou – (TUNE + ou – no controlo remoto) para sintonizar o serviço ou estação pretendida.
Se um serviço DAB selecionado tiver terminado a transmissão, o som para e aparece "NO SERVICE" (Sem serviço). Neste caso, prima TUNING + ou – (TUNE + ou – no controlo remoto) para selecionar outro serviço. - Ajuste o volume utilizando VOLUME + ou – (VOL + ou – no controlo remoto).
Para desligar o rádio, prima OFF.
Nota
MENU e TUNING + ou – não estão disponíveis quando "Tuning..." (A sintonizar...) é apresentado.
Nota sobre a utilização de FM
O passo de frequência está definido para 0,05 MHz em FM.
Nota sobre a utilização de DAB
- "NO SERVICE" (Sem serviço) aparece quando o serviço selecionado não pode ser recebido.
- As transmissões DAB com receção de má qualidade podem ser selecionadas quando a pesquisa automática é realizada. Neste caso, efetue a sintonização manual, o que pode melhorar a receção.
Sobre o SC (Componente Secundário)
Se o componente primário selecionado tiver um componente secundário, "SC" pisca no ecrã. Prima TUNING + ou – (TUNE + ou – no controlo remoto) para receber o componente secundário pretendido. "SC" acende-se enquanto o componente secundário está a ser recebido.
Nota
Quando o componente secundário selecionado termina, a unidade regressa automaticamente ao componente primário.
Pré-definir os seus serviços ou estações favoritos
Pode pré-definir até 10 serviços em DAB (5 serviços em DAB1, 5 serviços em DAB2) e 10 estações em FM (5 estações em FM1, 5 estações em FM2).
Pré-definir serviços ou estações
- Siga os passos 1 a 2 em "Operar o rádio" e sintonize manualmente a estação que pretende pré-definir.
- Prima sem soltar o botão favorito STATION
SELECT
PRESET 1 a 5 na unidade.
"PRESET" (Pré-definido) e o número piscam durante cerca de 2 segundos no ecrã e, em seguida, ficam totalmente iluminados. O serviço ou estação é armazenado.
Notas
- Para pré-definir outro serviço ou estação, repita estes passos.
- Para alterar o serviço ou estação pré-definido, sintonize o serviço ou estação pretendido e repita os passos 1 e 2. O novo serviço ou estação substituirá o serviço ou estação anterior.
Sintonizar um serviço ou estação pré-definido
- Prima DAB/FM repetidamente para selecionar a banda pretendida.
- Prima um dos botões STATION
SELECT
PRESET na unidade onde o serviço ou estação pretendido está armazenado. Quando o serviço ou estação não está registado, "PRESET BLANK" (Pré-definição vazia) aparece no ecrã. A estação pré-definida também pode ser selecionada por PRESET + ou – no controlo remoto. - Ajuste o volume utilizando VOLUME + ou – (VOL + ou – no controlo remoto).
Notas
- Se não houver estações pré-definidas, "PRESET BLANK" (Pré-definição vazia) aparecerá quando premir PRESET + ou – no controlo remoto.
- Se houver apenas uma estação pré-definida, o seu número de pré-definição piscará cada vez que premir PRESET + ou – no controlo remoto.
Sintonização automática pré-definida (apenas FM)
- Prima DAB/FM repetidamente para selecionar a banda FM.
- Prima MENU e SELECT ou para selecionar "Auto Preset" (Pré-definição automática) e, em seguida, prima ENTER.
- Prima SELECT ou para selecionar "Yes" (Sim) e, em seguida, prima ENTER.
A unidade pré-define automaticamente os canais disponíveis para FM1 e FM2 por ordem.
Dica
Para parar a sintonização automática pré-definida, prima OFF.
Sintonização por pesquisa (apenas FM)
A unidade pesquisa automaticamente as estações de FM.
- Prima DAB/FM repetidamente para selecionar a banda FM.
- Prima sem soltar TUNING + ou – (TUNE + ou – no controlo remoto).
+: pesquisa para cima nas bandas de frequência.
–: pesquisa para baixo nas bandas de frequência.
A pesquisa começa a partir da frequência atualmente sintonizada. Quando uma estação é recebida, a pesquisa para. - Ajuste o volume utilizando VOLUME + ou – (VOL + ou – no controlo remoto).

Os botões STATION SELECT PRESET 3, VOLUME + e iPod & iPhone
têm um ponto tátil.

Os botões
e VOL + têm um ponto tátil.
Operar um iPod
Pode desfrutar de áudio do iPod ligando-o a esta unidade. Para utilizar um iPod, consulte o guia do utilizador do seu iPod.
Se estiver a utilizar um iPhone 4S, iPhone 4, iPhone 3GS, iPhone 3G ou iPhone, coloque o adaptador universal de encaixe fornecido para iPhone 4S, iPhone 4, iPhone 3GS, iPhone 3G ou iPhone antes de ligar.
O número do adaptador, 12, 15 ou 19, é apresentado na parte inferior dos adaptadores universais de encaixe fornecidos. 12 é para o iPhone, 15 é para o iPhone 3G e iPhone 3GS e 19 é para o iPhone 4S e iPhone 4. Verifique o número do adaptador antes de utilizar.
Adaptador Universal de Encaixe

Notas
- Ao inserir um iPod na unidade, certifique-se de que utiliza o adaptador universal de encaixe fornecido com o seu iPod ou disponível comercialmente na Apple Inc.
- O conector da unidade destina-se exclusivamente à utilização com um iPod. Se utilizar um dispositivo que não corresponda ao conector, ligue-o à tomada AUDIO IN desta unidade com o cabo de ligação de áudio fornecido.
- A Sony não pode aceitar responsabilidade no caso de os dados gravados num iPod serem perdidos ou danificados ao utilizar um iPod ligado a esta unidade.
- Para obter detalhes sobre as condições ambientais para operar o seu iPod, consulte o site da Apple Inc.
- Coloque o adaptador para o seu iPod/iPhone e, em seguida, insira o seu iPod/iPhone no conector da unidade (ver Fig. A).
![Sony - XDR-DS12iP - Adaptador Universal de Encaixe - Parte 2 Adaptador Universal de Encaixe - Parte 2]()
- Prima iPod & iPhone
.
O iPod começa a reproduzir automaticamente. Pode operar o iPod ligado por esta unidade ou pelos botões no iPod. - Ajuste o volume utilizando VOLUME + ou – (VOL + ou – no controlo remoto).
| Para | Prima |
| Desligar o iPod | OFF (desligar) ou prima sem soltar iPod & iPhone ![]() |
| Colocar a reprodução em pausa | iPod & iPhone Para retomar a reprodução, prima novamente. |
| Ir para a faixa seguinte | (para a frente) |
| Voltar para a faixa anterior | (para trás)* |
| Localizar um ponto enquanto ouve o som | (para a frente) ou (para trás) enquanto reproduz e mantenha-o premido até encontrar o ponto. |
| Localizar um ponto enquanto observa o ecrã | (para a frente) ou (para trás) em pausa e mantenha-o premido até encontrar o ponto. |
| Voltar para o menu anterior | MENU |
| Selecionar um item de menu ou uma faixa para reprodução | (para cima)/ (para baixo)** |
| Executar o menu selecionado ou iniciar a reprodução | ENTER |
| Mudar para o modo de repetição | MODE** |
| Mudar para o modo aleatório | Prima sem soltar MODE** |
* Durante a reprodução, esta operação volta ao início da faixa atual. Para voltar para a faixa anterior, prima duas vezes.
** Estas operações estão disponíveis apenas quando utiliza o controlo remoto fornecido.
Notas
- Ao colocar ou remover o iPod, segure o iPod no mesmo ângulo do conector nesta unidade e não torça ou dobre o iPod, pois pode danificar o conector.
- Não transporte a unidade com um iPod colocado no conector. Fazê-lo pode causar um mau funcionamento.
- Ao colocar ou remover o iPod, segure firmemente a bandeja de encaixe com uma mão e tenha cuidado para não premir os controlos do iPod por engano.
- Antes de desligar o iPod, coloque a reprodução em pausa.
Para utilizar a unidade como um carregador de bateria
Pode utilizar a unidade como um carregador de bateria. O carregamento começa quando o iPod está ligado à unidade.
O estado de carregamento aparece no ecrã do iPod. Para obter detalhes, consulte o guia do utilizador do seu iPod.
Sobre os direitos de autor
iPhone, iPod, iPod classic, iPod nano e iPod touch são marcas comerciais da Apple Inc., registadas nos E.U.A. e noutros países.
"Made for iPod" (Feito para iPod) e "Made for iPhone" (Feito para iPhone) significam que um acessório eletrónico foi concebido para se ligar especificamente ao iPod ou iPhone, respetivamente, e foi certificado pelo programador para cumprir os padrões de desempenho da Apple. A Apple não é responsável pelo funcionamento deste dispositivo ou pela sua conformidade com as normas de segurança e regulamentares. Tenha em atenção que a utilização deste acessório com o iPod ou iPhone pode afetar o desempenho sem fios.
Definir o alarme
Esta unidade está equipada com 3 modos de alarme: iPod, rádio e campainha. Antes de definir o alarme, certifique-se de que define o relógio (ver "Definir o relógio pela primeira vez").
Para definir o alarme
- Prima sem soltar - ALARM SET A ou B.
"Alarm–A Setting" (Definição do alarme A) ou "Alarm–B Setting" (Definição do alarme B) aparece e a hora pisca no ecrã. - Prima - ALARM TIME SET + ou – repetidamente até que a hora pretendida apareça.
Para percorrer a hora rapidamente, prima sem soltar ALARM TIME SET + ou –. - Prima - ALARM SET A ou B.
Os minutos piscam. - Repita o passo 2 para definir os minutos.
- Prima ALARM SET A ou B.
Os dias da semana piscam. - Repita o passo 2 para definir os dias da semana. Pode selecionar o dia a partir das três opções seguintes:
EVERYDAY (Todos os dias): MON TUE WED THU FRI SAT SUN (SEG TER QUA QUI SEX SÁB DOM)
WEEKDAY (Dia da semana): MON TUE WED THU FRI (SEG TER QUA QUI SEX)
WEEKEND (Fim de semana): SAT SUN (SÁB DOM) - Prima - ALARM SET A ou B. A definição do modo de alarme é introduzida.
- Prima ALARM TIME SET + ou – repetidamente até que o modo de alarme pretendido pisque.
Pode escolher uma de 8 definições: "iPod,"
"DAB1," "DAB2," "DAB--," "FM1," "FM2,"
"FM--" ou "BUZZER" (Campainha).
"DAB--" e "FM--" são a última estação recebida.
Defina o modo de alarme da seguinte forma:- iPod: ver "A Definir o alarme do iPod."
- DAB1, DAB2, DAB--, FM1, FM2 ou FM--:
ver "B Definir o alarme do rádio." - BUZZER (Campainha): ver "C Definir o alarme da campainha."
Definir o alarme para iPod
- Efetue os passos 1 a 8 em "Para definir o alarme."
- Prima - ALARM SET A ou B para selecionar o modo de alarme para "iPod."
"ALARM VOLUME:" (Volume do alarme:) e o número do volume piscam no ecrã. - Prima ALARM TIME SET + ou – para ajustar o volume.
- Prima - ALARM SET A ou B.
A definição é introduzida. - Se "A" ou "B" não aparecer no ecrã, prima - ALARM SET A ou B novamente.
O iPod tocará à hora definida.
Ao utilizar um iPod touch/iPhone
- Para acordar com a música armazenada num iPod touch/ iPhone, ligue primeiro o iPod touch/iPhone à unidade, siga os passos acima para definir a hora do alarme e, em seguida, selecione a função de música.
- Mesmo que a definição do alarme para iPod esteja concluída, se desligar o iPod touch/iPhone antes de inserir o iPod touch/iPhone na unidade, o alarme para iPod não funcionará.
Definir o alarme da rádio
- Execute os passos 1 a 8 em "Para definir o alarme".
- Prima ALARM SET A ou B para selecionar a banda de rádio ("DAB1", "DAB2", "DAB--", "FM1", "FM2" ou "FM--").
![Sony - XDR-DS12iP - Definir o alarme da rádio Definir o alarme da rádio]()
Número predefinido O número predefinido pisca no ecrã. Quando seleciona "DAB--" ou "FM--", avance para o passo 5. - Prima ALARM TIME SET + ou – para selecionar o número predefinido pretendido correspondente à banda.
Prima DISPLAY para confirmar os detalhes predefinidos:
Frequência para FM e etiqueta de componente para DAB.
Dicas
- Se o número predefinido selecionado não estiver definido, "PRESET BLANK" (PREDEFINIÇÃO EM BRANCO) pisca duas vezes e, em seguida, "ALARM VOLUME:" (VOLUME DO ALARME:) e o número do volume piscam no ecrã. Em seguida, avance para o passo 5.
- Se não houver nenhuma última estação, "NO LAST STATION" (SEM ÚLTIMA ESTAÇÃO) pisca duas vezes e, em seguida, "ALARM VOLUME:" (VOLUME DO ALARME:) e o número do volume piscam no ecrã. Em seguida, avance para o passo 5.
- Prima -ALARM SET A ou B.
"ALARM VOLUME:" (VOLUME DO ALARME:) e o número do volume piscam no ecrã. - Prima ALARM TIME SET + ou – para ajustar o volume.
- Prima -ALARM SET A ou B.
A definição é introduzida. - Se "A" ou "B" não aparecer no ecrã, prima
ALARM SET A ou B novamente.
A rádio liga-se à hora definida.
Nota
Se o número predefinido selecionado não estiver definido ou não houver nenhuma última estação, o som do alarme será a campainha quando a hora do alarme for atingida. Se pretender alterar o alarme da campainha, defina a estação predefinida ou sintonize a estação de rádio (consulte "Operar a rádio").
Definir o alarme da campainha
- Execute os passos 1 a 8 em "Para definir o alarme".
- Prima -ALARM SET A ou B para selecionar o modo de alarme "BUZZER" (CAMPAINHA).
A definição é introduzida. - Se "A" ou "B" não aparecer no ecrã, prima -ALARM SET A ou B novamente.
A campainha soará à hora definida.
Nota
O volume não pode ser definido para o alarme da campainha.
Para confirmar uma definição da hora do alarme
Prima ALARM TIME SET + ou –. A definição será apresentada durante cerca de 4 segundos.
Para alterar uma definição do alarme
Prima sem soltar ALARM TIME SET + durante, pelo menos, 2 segundos para avançar a hora do alarme. Prima sem soltar ALARM TIME SET – durante, pelo menos, 2 segundos para recuar a hora do alarme.
Quando soltar o botão, a hora alterada piscará durante cerca de 2 segundos. Para alterar a hora do alarme novamente, prima ALARM TIME SET + ou – dentro destes 2 segundos; caso contrário, a alteração da definição será corrigida conforme apresentado.
Para adiar durante mais alguns minutos
Prima SNOOZE/DATE/SLEEP OFF (SNOOZE no telecomando).
O som desliga-se, mas volta a ligar-se automaticamente após cerca de 10 minutos.
Pode alterar o tempo de repetição premindo
SNOOZE/DATE/SLEEP OFF (SNOOZE no telecomando) repetidamente dentro de 4 segundos. O tempo máximo de repetição é de 60 minutos.
Para parar o temporizador de repetição, prima OFF/ALARM RESET (OFF no telecomando).
Para parar o alarme
Prima OFF/ALARM RESET (OFF no telecomando) para desligar o alarme.
O alarme voltará a soar à mesma hora no dia seguinte.
Para desativar o alarme
Prima
ALARM ON/OFF A ou B para desligar o indicador do alarme A ou B do ecrã.
Para ativar o alarme
Prima
ALARM ON/OFF A ou B para ligar o indicador do alarme A ou B no ecrã.
Notas
- Com o modo de alarme definido para iPod, quando a hora do alarme for atingida, se o iPod não estiver ligado à unidade, o som do alarme será a campainha.
- Se a mesma hora do alarme for definida para os alarmes A e B, o alarme A tem prioridade.
- Se não houver nenhuma operação enquanto o alarme estiver a ocorrer, o alarme parará após cerca de 60 minutos.
Nota sobre o alarme em caso de interrupção de energia
Em caso de interrupção de energia, o alarme da campainha durará cerca de 5 minutos se a bateria não estiver fraca.|
No entanto, determinadas funções serão afetadas da seguinte forma:
- A retroiluminação não se acenderá.
- Se o modo de alarme estiver definido para iPod ou rádio, este mudará para campainha automaticamente.
- Se OFF/ALARM RESET não for premido, o alarme soará durante cerca de 5 minutos.
- Se "
" aparecer no ecrã, o alarme não soará em caso de interrupção de energia.
Substitua a bateria se "
" aparecer. - A função de repetição não pode ser definida durante uma interrupção de energia. Se a função de repetição já tiver sido definida e ocorrer uma interrupção de energia, a função de repetição não funcionará.
- Durante uma interrupção de energia, cada alarme soará à hora definida apenas uma vez.
Definir o temporizador
Pode adormecer a ouvir música, etc., utilizando o temporizador. A unidade para a reprodução ou a rádio automaticamente após uma duração predefinida.
- Prima SLEEP enquanto a unidade estiver ligada.
"SLEEP:" (TEMPORIZADOR:) e o tempo do temporizador piscam no ecrã. - Prima SLEEP para definir a duração do temporizador.
Cada vez que prime SLEEP, a duração (em minutos) muda da seguinte forma:
![Sony - XDR-DS12iP - Definir o temporizador Definir o temporizador]()
O ecrã volta ao modo de relógio durante cerca de 4 segundos após ter terminado a definição da duração e ter soltado SLEEP e, em seguida, o temporizador começa.
A unidade reproduz durante a duração que definiu e, em seguida, para.
Para desligar a unidade antes da hora predefinida
Prima SNOOZE/DATE/SLEEP OFF (SNOOZE no telecomando) ou OFF/ALARM RESET (OFF no telecomando).
Para alterar a definição do temporizador
Pode premir SLEEP repetidamente para selecionar a definição do temporizador pretendida, mesmo depois de o temporizador ter sido ativado.
Para desativar o temporizador
Prima SLEEP repetidamente para definir o temporizador para "OFF" (DESLIGADO) no passo 2.
Outras funções úteis para DAB
Alterar o ecrã
Para alterar o modo de ecrã, prima DISPLAY durante a receção de DAB. O modo de ecrã selecionado permanece mesmo que desligue e volte a ligar a unidade ou altere a banda.
O ecrã pode ter até 16 carateres de comprimento. Uma etiqueta dinâmica pode ter até 128 carateres de comprimento.
Cada vez que prime DISPLAY, o ecrã muda da seguinte forma*:
Função e número predefinido

* Quando mantém premido DISPLAY durante cerca de 2 segundos ou mais, o ecrã muda da seguinte forma:
Transmissão/Taxa de bits/Estéreo, Mono

O ecrã mudará para o ecrã anterior durante cerca de 4 segundos automaticamente se nenhuma operação for realizada.
Notas
- Se não houver nenhuma etiqueta de componente, "NO COMP LABEL" (SEM ETIQUETA DE COMPONENTE) será apresentado.
- Se não houver nenhuma etiqueta de conjunto, "NO ENS LABEL" (SEM ETIQUETA DE CONJUNTO) será apresentado.
- Se não houver nenhum tipo de programa, "NO PROGS TYPE" (SEM TIPO DE PROGRAMAS) será apresentado.
- Se não houver nenhuma etiqueta dinâmica, a linha inferior do ecrã fica em branco.
- Dependendo da estação de transmissão, os carateres nas etiquetas dinâmicas podem não ser apresentados corretamente.
Sintonia manual
Esta função permite-lhe sintonizar e adicionar os vários canais DAB Band-III à sua lista de estações.
Esta função pode ser utilizada para ajudar no posicionamento da antena ou da unidade para obter a receção ideal para um canal/frequência específico.
- Prima DAB/FM repetidamente para selecionar a banda DAB.
- Prima MENU e SELECT ou para selecionar "Manual Tune" (Sintonia manual) e, em seguida, prima ENTER.
- Prima SELECT ou para selecionar o canal DAB pretendido e, em seguida, prima ENTER.
A unidade procura estações e lista todas as estações pertencentes a este canal.
Ao premir DISPLAY, as barras de intensidade do sinal irão para a esquerda e para a direita, mostrando a intensidade do sinal em mudança à medida que ajusta a receção. - Prima SELECT ou para selecionar o serviço pretendido e, em seguida, prima ENTER.
Nota
Se o canal pretendido selecionado no passo 3 não puder ser recebido, prima MENU para selecionar outro canal.
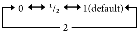
Valor DRC (CONTROLO DE GAMA DINÂMICA)
O DRC pode tornar os sons mais silenciosos mais fáceis de ouvir quando a unidade é utilizada num ambiente ruidoso. Para transmissões DAB com compressão de gama dinâmica, pode ajustar a gama dinâmica através desta unidade.
- Prima DAB/FM repetidamente para selecionar a banda DAB.
- Prima MENU e SELECT
ou
para selecionar "DRC Value" (Valor DRC) e, em seguida, prima ENTER. - Prima SELECT
ou
para selecionar o nível de DRC.
O nível de DRC muda da seguinte forma:
![Sony - XDR-DS12iP - Valor DRC (CONTROLO DE GAMA DINÂMICA) Valor DRC (CONTROLO DE GAMA DINÂMICA)]()
- Prima ENTER.
Notas
- O DRC só é eficaz em transmissões de compressão de gama dinâmica.
- Quando ajusta o nível de DRC, o volume pode ser ouvido mais alto.
Digitalização automática
Estas funções permitem-lhe digitalizar e criar automaticamente uma lista de transmissões DAB recetíveis.
- Prima DAB/FM repetidamente para selecionar a banda DAB.
- Prima MENU e SELECT
ou
para selecionar "Auto Scan" (Digitalização automática) e, em seguida, prima ENTER. - Prima SELECT
ou
para selecionar "Yes" (Sim) e, em seguida, prima ENTER.
"Scanning..." (A digitalizar...) aparece no ecrã.
A digitalização automática demora cerca de 30 a 90 segundos. Quando terminar, a unidade cria uma lista por ordem alfabética.
Nota
Quando a digitalização automática é realizada, a lista existente será atualizada e os serviços predefinidos serão apagados. Neste caso, predefina os seus serviços favoritos novamente.
Remover estações
Pode eliminar as estações que não estão a ser recebidas atualmente.
- Prima DAB/FM repetidamente para selecionar a banda DAB.
- Prima MENU e SELECT
ou
para selecionar "Prune" (Remover) e, em seguida, prima ENTER.
Quando terminar, "FINISH!" (TERMINAR!) aparece durante cerca de 1 segundo e, em seguida, muda para a estação atual automaticamente.
Confirmar informações da lista de serviços
- Prima DAB/FM repetidamente para selecionar a banda DAB.
- Prima MENU e SELECT
ou
para selecionar
"Servlist Info" (Informações da lista de serviços) e, em seguida, prima ENTER.Prima - SELECT
ou
para selecionar "Ens" ou Serv" ou "Comp" para confirmar a quantidade do conjunto, serviço ou componente.
Sincronizar hora agora
Pode sincronizar a hora a partir de transmissões DAB.
- Prima DAB/FM repetidamente para selecionar a banda DAB.
- Prima MENU e SELECT
ou
para selecionar "Sync Time Now" (Sincronizar hora agora) e, em seguida, prima ENTER. Quando terminar, "FINISH!" (TERMINAR!) aparece durante cerca de 2 segundos.
Nota
Se nenhuma transmissão DAB puder ser recebida, "DAB TIME INVALID" (HORA DAB INVÁLIDA) aparece durante cerca de 2 segundos no ecrã. Neste caso, ajuste o posicionamento da antena ou da unidade para obter a receção ideal.
Selecionar estação
Outro serviço pode ser selecionado enquanto ouve uma transmissão.
- Prima MENU e SELECT
ou
para selecionar "Select Station" (Selecionar estação) e, em seguida, prima ENTER. - Prima SELECT
ou
para selecionar um serviço pretendido e, em seguida, prima ENTER.
PTY (Tipo de programa)
Esta função indica serviços no tipo de programa, como NEWS (NOTÍCIAS), SPORTS (DESPORTOS) da lista PTY, transmitida numa transmissão DAB.
Se o serviço ou estação recebido não transmitir o tipo de programa, "NO PTY Data" (SEM Dados PTY) aparece.
| Tipo de programa | Ecrã |
| Undefined (Não definido) | None (Nenhum) |
| News (Notícias) | News (Notícias) |
| Current Affairs (Assuntos atuais) | Current Affairs (Assuntos atuais) |
| Information (Informação) | Information (Informação) |
| Sport (Desporto) | Sport (Desporto) |
| Education (Educação) | Education (Educação) |
| Drama (Drama) | Drama (Drama) |
| Culture (Cultura) | Cultures (Culturas) |
| Science (Ciência) | Science (Ciência) |
| Varied (Variado) | Varied Speech (Discurso variado) |
| Pop Music (Música pop) | Pop Music (Música pop) |
| Rock Music (Música rock) | Rock Music (Música rock) |
| Easy Listening Music (Música de audição fácil) | Easy Listening (Audição fácil) |
| Light Classical (Clássica ligeira) | Light Classics M (Clássicos ligeiros M) |
| Serious Classical (Clássica séria) | Serious Classics (Clássicos sérios) |
| Other Music (Outra música) | Other Music (Outra música) |
| Weather (Meteorologia) | Weather & Metr (Meteorologia) |
| Finance (Finanças) | Finance (Finanças) |
| Children's programmes (Programas infantis) | Children's Progs (Programas infantis) |
| Social Affairs (Assuntos sociais) | Social Affairs (Assuntos sociais) |
| Religion (Religião) | Religion (Religião) |
| Phone In (Participação por telefone) | Phone In (Participação por telefone) |
| Travel (Viagem) | Travel & Touring (Viagem e turismo) |
| Leisure (Lazer) | Leisure & Hobby (Lazer e passatempo) |
| Jazz Music (Música jazz) | Jazz Music (Música jazz) |
| Country Music (Música country) | Country Music (Música country) |
| Nation Music (Música nacional) | Nation Music (Música nacional) |
| Oldies Music (Música antiga) | Oldies Music (Música antiga) |
| Folk Music (Música folclórica) | Folk Music (Música folclórica) |
| Documentary (Documentário) | Documentary (Documentário) |
Outras funções úteis
Para obter o efeito MEGA Xpand
Prima MEGA Xpand. "MEGA Xpand" aparece no ecrã. O efeito expande o campo sonoro. Para voltar ao som normal, prima o botão novamente.
Para reforçar o som dos graves
Prima MEGA BASS. "MEGA BASS" aparece no ecrã. O efeito expande o conteúdo de graves do som. Para voltar ao som normal, prima o botão novamente.
Ligar equipamento externo
Para ouvir som
- Ligue a tomada AUDIO IN na parte traseira da unidade à tomada de saída de linha ou à tomada de auscultadores do equipamento externo utilizando o cabo de ligação de áudio fornecido.
![Sony - XDR-DS12iP - Ligar equipamento externo Ligar equipamento externo]()
- Prima AUDIO IN para apresentar "AUDIO IN" ("AUDIO IN").
- Reproduza o equipamento ligado à tomada AUDIO IN.
- Ajuste o volume utilizando VOLUME + ou – (VOL + ou – no telecomando).
Para regressar ao rádio
Prima DAB/FM.
Para regressar ao iPod
Prima iPod & iPhone
.
Para parar de ouvir
Prima OFF (DESLIGAR) e pare a reprodução na unidade ligada.
Notas
- O MENU não pode ser operado enquanto a entrada de áudio está a ser utilizada.
- Consulte também o manual do equipamento ligado.
- O cabo de ligação de áudio fornecido pode não ser utilizado com algum equipamento externo. Neste caso, utilize um cabo adequado para o equipamento externo que está a utilizar.
- Quando ouvir o rádio com equipamento externo ligado, desligue o equipamento ligado para evitar ruído. Se ocorrer ruído, mesmo quando o equipamento está desligado, desligue e coloque o equipamento externo longe da unidade.

Descarregar manual
Aqui pode descarregar a versão completa em PDF do manual, ela pode conter instruções de segurança adicionais, informações de garantia, regras da FCC, etc.
Descarregar Sony XDR-DS12iP - Manual de Operação do Sistema de Acoplamento de Áudio Pessoal

virado para cima (ver Fig. 2).

, DAB/FM, AUDIO IN ou SNOOZE/DATE/SLEEP OFF para desligar "


" aparece no ecrã. A hora muda para o horário de verão.

(para a frente)
(para trás)*
(para cima)/
(para baixo)**
" aparecer no ecrã, o alarme não soará em caso de interrupção de energia.
ou
para selecionar "DRC Value" (Valor DRC) e, em seguida, prima ENTER.
